우리가 일반적으론 한 공간V에 대해서 문제를 풀 수도있지만, basis를 변환해서 풀면 더 쉬운 경우가 있다.
고등학교 시절 2차원 좌표계(coordinate system)에서 일반적인 x,y의 단위벡터로 이루어진 점 좌표계를 반지름과 각도로 이루어진 극 좌표계로 변환하는것도 그 예시중 하나이다.
우리는 앞에서 basis를 배우며, basis에 따라 다르게 표현할 수 있다는걸 알게 되었다. 그에 따라 coordinate vector가 바뀌는것도 알게 되었고 아래 그림을 참고해보자




오늘은 이렇게 기저를 변환함에 따라 어떻게 계산하는지 알아보는 시간을 갖게 될것이다.
B와 C를 V공간의 bases라 하면,

행렬 P(C<-B)를 change-of-coordinates matrix from B to C 라고 부른다.


여기서 P의 column들도 Linearly Independent 한데, 이미 Linearly Independant한 B에서 column들을 가져오기 때문이다.

이미지로 표현하면 다음과 같은데, 나는 약간 치환의 개념으로 이해했다.
우리가 방정식을 풀때, 복잡한 미지수 세트가 있다면 그거를 예를들어 A= x^2-2x 이런식으로 풀어서 A를 구한 뒤 또 x를 구하는 느낌처럼 말이다.
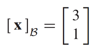
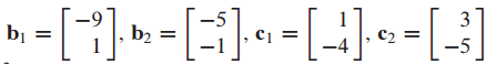
문제로 넘어가면,

다음과 같은 행렬들이 주어졌을때, P(C<-B)를 구하시오.

P의 두 행렬을 다음과 같이 설정한다면,

다음과 같이 쓸 수 있다.
이때, x1, x2는 [c1 c2 : b1] 첨가행렬을 row reducing 해서 [I : [b1]c] 꼴로 나타내고, y1 y2도 마찬가지로 row reducing 해서 찾아야 한다.
결국, 동시에 쓰면 다음과 같은 식이 나오고

이를 정리하면 다음과같이 일반화를 시킬 수 있다.

Reference
- David Lay - Linear algebra and its application
'공부 > 선형대수학' 카테고리의 다른 글
| 대각화(Diagonalization) (0) | 2023.06.23 |
|---|---|
| 고유값과 고유벡터 (eigenvalue and eigen vector) (0) | 2023.06.23 |
| 행렬 분해 (Matrix factorization) (0) | 2023.06.15 |
| 행렬 연산 (역행렬, 기본행렬) (0) | 2023.06.15 |
| 벡터공간과 부분공간 더 확실히 이해하기(Vector spaces) (1) | 2023.06.07 |