728x90
n차의 정사각행렬 A에 대하여 다음을 만족하는 행렬 B가 존재하면 A는 가역
(invertible, nonsingular)이라고 한다. AB = I = BA
이때 B를 A의 역행렬(inverse matrix)이라고 하며, 이러한 B가 존재하지 않으면 A는
비가역(noninvertible, singular)이라고 한다.
역행렬 존재 여부 > determinant 가 0이 아니어야 한다.

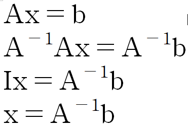
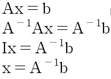
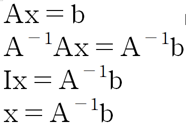
A (nxn)이 가역일때 모든 b 에 대해서 Ax=b는 유일한 해를 갖는다.
If A is an invertible (n x n) matrix, then for each b in Rn, the equation Ax = b has the unique solution x = A^(-1)b

항등행렬(단위행렬 - identity matrix) 에 기본행연산(ERO)을 한번 한 행렬을 기본행렬(elementary matrix) 이라고 한다.
기본행 연산 - RREF를 만들때 쓰는 작업들, 행 곱하고 더하고 바꾸기
- 두 행 교환
- 한행에 실수배
- 한행에 실수배 후 더하기

기본행렬 성질
임의의 행렬의 왼쪽에 기본행렬을 곱한 결과는 기본행렬에 대응하는 기본행 연산을 주어진 행렬에 시행한 결과와 같다.

우리가 어떠한 행렬을 행끼리 바꾸거나, 행을 실수배 해서 더하거나 하는 단계에는 그 역할을 하는 기본행렬들을 곱한것과 같다는 것이다.
따라서 여기서 도출할 수 있는 정리가 "기본행렬의 역행렬은 기본행렬이다" 이다.

1. 행끼리 바꾼 것은 한번더 행끼리 바꾸는 행위 (행을 바꾼 기본행렬을 곱하는행위)를 하면 항등행렬이 나오기에 서로 역행렬.

2. 실수배 한 것도 그것의 역수의 실수배를 한번더 해주는 역할을 하면 항등행렬이 나오기에 서로 역행렬

3. 다른행을 실수배해서 더한것도 다른행의 -실수배를 해서 더하면 똑같기에, 서로 역행렬이 된다.
역행렬 구하기
기본행렬을 옆에 써서 기본행연산을 적용할때 똑같이 적용하며 역행렬을 구하는 방식이 있다.
728x90
'공부 > 선형대수학' 카테고리의 다른 글
| 기저 변환(change of basis) (0) | 2023.06.21 |
|---|---|
| 행렬 분해 (Matrix factorization) (0) | 2023.06.15 |
| 벡터공간과 부분공간 더 확실히 이해하기(Vector spaces) (1) | 2023.06.07 |
| 대수구조 이해하기(추상대수학, 벡터공간) (0) | 2023.06.02 |
| 행렬 용어정리(Matrix) (0) | 2023.05.31 |