Gradient
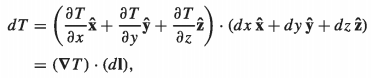
x,y,z 세 변수에 영향을 받는 함수 T가 있다고 가정하면, 함수 T는 각 변수의 미소 변화에 어떤 영향을 받는지 궁금할 것이다. 이를 우리가 고등교육에서 배운 도함수(편미분)로 표현한다면 다음과 같이 작성할 수 있다.

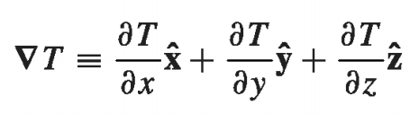
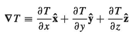
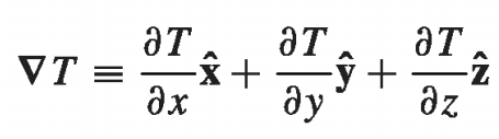
그리고 앞의 역삼각형 표시가 있는 부분이 T의 gradient라고 하고, 정리하면 다음과 같다.

식을 보면 단위벡터들로 표현된만큼, gradient는 벡터 값을 가진다.
gradient의 물리적 의미는 스칼라장의 변화가 최대인 방향을 가르킨다.
그림상으론 해당 함수의 기울기가 가장 가파른 곳을 가르킨다.
그리고 gardient 크기는 기울기를 나타낸다.

실생활의 예시로 본다면, 산에서 위치와 고도의 두 변수로 영향을 받을 때, 주위에서 가장 가파른 경사면의 방향 gradient 값이고, 그 방향의 기울기를 측정하면 그게 gradient의 크기이다.
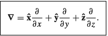
그리고 여기서 역삼각형의 연산자를 del operator라고 한다.

del 은 vector operator이므로, 스칼라 값을 벡터로 만들어주기에 gradient는 스칼라 값을 입력받고 벡터값을 도출한다는 것을 알 수 있다.

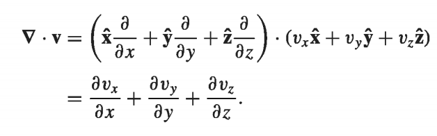
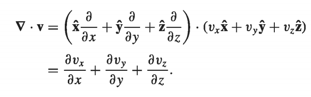
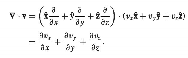
이 외에도 del operator를 벡터함수에 dot production을 하는 행위를 divergence라 하고, 벡터함수에 cross product를 하는 것을 curl이라고 한다.
Divergence

del operator에 vector function을 dot product 하는 행위를 divergence 한다고 하고, 결과를 정리해보면 벡터의 각 성분을 편미분 한 것을 다 더한것으로 나온다.
그래서 벡터 함수를 넣었는데 스칼라 함수가 나온 것을 알 수 있다.
divergence 의 물리적 의미는, 원천 소스(point)로부터 얼마나 많은 벡터가 나오는지를 의미하는 것이다.

따라서 원천 소스로부터 나오는 방향이라면, positive한 값을 가지고, source 나 faucet 이라 한다. 원천 소스로부터 들어가는 방향이라면 negative 한 값을 가지고 sink 나 drain이라고 한다.
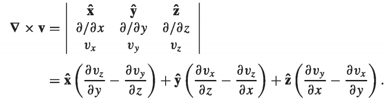
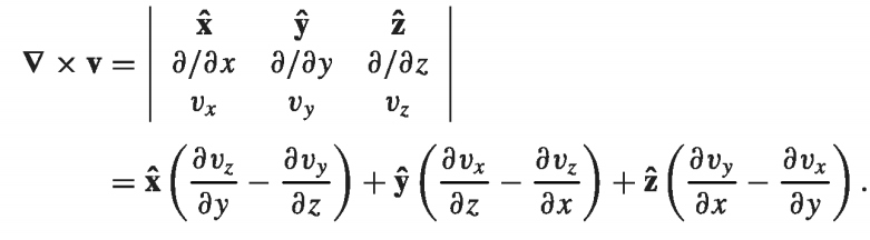
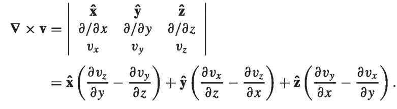
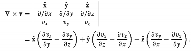
Curl

cross product 한 결과를 정리하면 다음과 같다.
curl의 기하학적 의미는 벡터들이 소스가 회전하는지 여부이다.
위의 divergence에서 나온 그림은, 회전상태가 아니므로 curl이 0이 나올 것이다.

이 예시들은 curl이 0이 아닌 예시들이고, 시계 방향일 경우 negative, 반시계방향일 경우 positive한 값을 가진다.
Reference
- Introduction to Electrodynaics
'공부 > 선형대수학' 카테고리의 다른 글
| 선형대수학 TF 문제 (0) | 2023.07.03 |
|---|---|
| 대각화(Diagonalization) (0) | 2023.06.23 |
| 고유값과 고유벡터 (eigenvalue and eigen vector) (0) | 2023.06.23 |
| 기저 변환(change of basis) (0) | 2023.06.21 |
| 행렬 분해 (Matrix factorization) (0) | 2023.06.15 |