전기장 속의 부도체(dielectrics = insulator)

외부 전기장 속의 부도체는, 원자끼리 아주 약간만 움직일 수 있기에 제한된 영역 안에서 각각 분극을 형성한다.
그리고 외부 전기장이 부도체의 charge distribution에 영향을 주는것은 1) stretching 과 2) roatating 방면에서 고려해야한다.
전하의 존재 > 전기장 생성
전기장의 존재 > 물질 내 편극 생성
유도 쌍극자(Induced Dipoles)
제일 작은 단위인 원자 단위로 한 번 살펴보자.

중성 원자가 전기장 안에 들어간다면, 분극이 유도될것이다.(Induced dipole)
화학의 유도 쌍극자에 의한 london force 와 같은 곳에서도 induced dipole을 많이 봤을 것이다.
이 dipole moment (p)는 (-) 에서 (+)방향으로 형성되고, 외부 자기장 filed와 어느정도 비례한다.

4장에서는 linear, isotropic dielectric일때라고 가정한다.
Polarization of Molecule
단일원자는 하나의 편극만 신경쓰면 되지만, 분자 내에서의 polarization은 조금 더 복잡하다.

CO2 분자를 살펴보면, filed와 분자의 axis가 일치한다.
이 경우엔 polarizability 성분을 수평과 수직으로 나눠서 계산한다.


polarizability tensor로 정리하면 대각성 성분만 최종적으로 남게 된다.
electric field 내의 polar한 분자를 살펴보면, 이미 내부적으로 dipole moment를 가지고 있다.
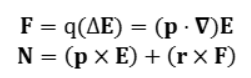
외부 전기장이 균일할 때, dipole +와 - 양 끝에 걸리는 힘(F+, F-)은 같지만, 분극 중앙을 중심으로 반대 방향이기에 회전힘(토크)가 존재한다.

결국, N = p x E 라는 토크가 걸린다.
외부 전기장이 균일하지 않다면, F+ 와 F-가 balance가 맞지 않는다.
dipole이 매우 짧다고 가정하고 계산하면, 다음과 같이 된다.



Polarization
해당 단원에서 대문자 P 는polarization이고, 소문자 p는 dipole moment이니 헷갈리지 않도록 유의!!
전기장 내 dielectrics는 수많은 dipole들이 모인 것으로 볼 수 있다.
그래서 polarization은 단위 부피당 dipole moment로 정의한다.
P = dipole moment per unit volume

아래의 electric strenght와 polarization vector 사이 식들도 매우 중요하니 잘 알아두기를 바란다.

REFERENCE
- David J. Griffiths, Introduction to Electrodynamics, 4th edition.
'공부 > 전자기학' 카테고리의 다른 글
| [논리회로] 다양한 플립플롭 (Flip-Flop) 종류 및 동작 원리 (0) | 2024.12.16 |
|---|