Purpose
오늘의 일반화학실험1 레포트의 목표는, 물의 기름 층을 이용해 아보가드로 수(물질 몰에 잇는 분자의 수)를 도출해 낼 수 있다.

Theory
● 아보가드로 수
물질의 한 몰에 있는 단위 수 (그램 단위로 분자랼으로 정의됨)이다. 과 같다. 단위는 물질의 특성과 반응의 특성에 따라 전자, 원자, 이온, 또는 분자가 될 수 있다.
● 몰
몰은 국제 단위계(SI)에서 물질의 양에 대한 측정 단위다. 단위는 정의상 상대 원자질량 12를 갖는 탄소의 동위원소인 탄소-12(12C)의 12g에 원자가 있다. 그래서 원자, 분자, 이온, 전자 또는 광자 등 많은 대표적인 입자를 포함하는 화학 물질의 양으로 정의된다. 이 숫자는 6.022140857×1023 mol-1의 값을 가진 아보가드로 상수로 표현된다.
● 물(H2O)
액체 상태의 물 분자는 ‘굽은구조’ 또는 ‘V자 모양’을 하고 있으며 ‘H-O-H’의 각도는 대략 105°이다. 물 분자의 ‘O-H’ 결합은 산소와 수소 원자 사이에 전자를 공유함으로써 형성되는 공유결합이다. 그런데 산소원자는 수소원자보다 더 큰 친화력을 가지고 있어 전자들은 산소원자 근처에서 더 많은 시간을 보내고, 결국 산소원자가 약간 음전하를 띄고 수소원자는 약간 양전하를 띄며 물은 극성분자가 된다. 이 극성분자인 물은 이온성 물질 및 극성물질을 잘 녹인다. 비극성 물질과는 상호작용을 할 수 없다.
● 스테아르산
스테아르산은 18-탄소 골격이 있는 포화 긴 사슬 지방산이다. 다양한 동식물 지방에서 발견되며 시아버터와 코코아버터의 주요 성분이다.
● 헥세인
곁가지가 없는 탄소 여섯 개를 포함하는 무극성 포화 탄화수소를 n-헥세인이라 부르며, 가연성이 높은 무색 액체 화합물이다. 반응성이 거의 없고, 끓는점이 낮으며, 비교적 안정하여 유기반응 후 화합물의 분리 정제 시 비극성 용매로 유용하게 사용된다. 가솔린 냄새가 나며, 접착제 제조에 사용한다. 또, 식용유를 추출할 때도 많이 사용한다.
● 극성 분자와 무극성 분자
분자는 항상 전자를 동등하게 공유하지 않는 원자로 이루어져 있다.
원자들이 전자를 동등하게 공유할 때, 분자 전하의 비대칭성이 발생한다. -> 극성분자
그들이 균등하게 대칭성을 공유할 때, 비극성 분자가 달성된다.

● 단막층 형성
스테아르산이 극성이기 때문에, 스테아르산의 카복실기는 물 가까이에 있도록 스스로 정렬한다. 반대로 탄화수소 사슬은 무극성이라서 물에서 멀리 떨어져있도록 정렬된다. 결과적으로 이 현상 때문에 단막층을 형성한다.

Result
1. 피펫의 보정

2. 스테아르산 한방울이 차지하는 표면적

3. 스테아르산 단막층의 두께

4. 탄소 원자의 크기와 부피(스테아르산의 탄소원자는 18개이다.)
탄소의 크기 (길이) : 단막층의 두께에 18개의 탄소원자가 있으므로, 탄소 하나의 크기(길이)를 a라 하면,

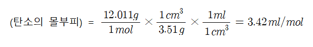
5. 탄소원자 1몰의 부피
탄소의 몰부피(다이아의 밀도가 3.51g/cm 인 것을 이용해라)
밀도 식()을 이용하면, 이므로,

6. 아보가드로 수를 계산해라
탄소의 몰부피와 탄소원자의 부피를 이용해라

어마어마한 오차율...!!
Discussion
◆ 궁금한점 & 생각해볼점
Q1. 꼭 송화가루여야 할까? 단막층의 크기를 좀 더 효과적으로 나타내기 위한 방법은 무엇이 있을까?
Q2. 스테아르산을 쓰는 이유가 무엇일까?
Q3. 처음 아보가드로 수는 어떻게 결정되었을까?
◆ 오차분석 및 느낀점
결과분석 및 Discussion 을 확인하세요!! ⬇️⬇️
아보가드로수 결정하기 레포트
Purpose 물의 기름 층을 이용해 아보가드로 수(물질 몰에 잇는 분자의 수)를 도출해 낼 수 있다. Theory ● 아보가드로 수 물질의 한 몰에 있는 단위 수 (그램 단위로 분자랼으로 정의됨)이다. 과 같다
www.happycampus.com
Reference
1) Experiment 3 : Determining Avogadros Numver.pptx , Sungkyunkwan University
2) 줌달의 일반화학 4.1 물, 가장 흔한 용매 p159~161
3) Ramond Chang chemistry 3.2 Avogadro's Number and the Molar Mass of an Element p81
4) 네이버 지식백과 - 화학물질 구조사전 [online], ‘스테아르산’
5) 네이버 지식백과 - 화학백과 [online], ‘헥세인’
6) 네이버 지식백과 - 두산백과 [online], '아보가드로 수‘
'공부 > 일반화학' 카테고리의 다른 글
| [일반화학실험] 질산칼륨의 용해도 (0) | 2024.05.14 |
|---|---|
| [일반화학실험] 생활 속의 산 염기 (0) | 2024.05.13 |
| [일반화학실험] 크로마토그래피 실험 레포트 (0) | 2024.03.31 |
| [일반화학실험] 탄산염의 분석 레포트 (0) | 2024.03.21 |
| [일반화학실험] 재결정과 여과, 거르기 레포트 (0) | 2024.03.21 |