실제기체가 이상성에서 벗어나는 실험적인 예 2가지를 들고, 실제기체에 적용할 수 있는 가장 간단한 식인 vnader Waalㄴ tkdxotlr 상태식은 이상기체 상태식의 어떤점을 보완해서 유도한 것인지 설명하시오
vandervall상태식의 특징은 무엇이며, 이로부터 기체가 액체로 상전이하는 임계상수 및 임계 압축 인자들을 구하는 방법을 설명하시오.
이상기체(Ideal gas)와 실제기체(Real gas)
이상기체(Ideal gas)란 분자간의 인력, 분자의 크기를 무시하고 이상적으로 행동하는 기체를 가정한 것이다.

그리고 이상기체는 다음과 같은 식을 만족한다.
하지만, 실제기체에선 분자간의 인력도 존재하고, 또 분자의 크기도 아주 작지만 공간을 차지하고 있다. 그래서 이를 보정해서 나온 식이 반데르발스 상태방정식이다. (Van der Waals equation)
따라서 분자 입자들이 차지하는 부피를 빼고, 또 분자간 인력으로 압력이 감소하는 영향을 받는 것을 보정해주는 일련의 과정을 거치면 다음과 같은 식이 만들어진다.



위와 아래식은 똑같은 식이고, 단지 V_m = V/n 로 치환해 몰당 부피로 나타낸 식이다.
a,b는 기체 고유의 값이고, 온도 영향을 받지 않는다. 실험적인 파라미터라고만 이해하자.
압축인자(Compressibility coefficient)

(실제기체 부피)/(이상기체부피)로 이상기체에 비해 실제기체가 얼마나 압축되었는가를 나타내주는 인자이다.

높은 압력에선 모든 기체들이 Z가 1보다 큰 값을 가지는데, 실제 기체에선 분자간의 반발력이 작용하기에 분자간 인력을 무시한 이상기체보다 큰 부피를 가질 수 밖에 없다.
반대로 적당한 압력 이하에선 Z가 1보다 작은값이고, 이때는 인력이 더 우세하다는 것을 알 수 있다.

이상기체의 Z값은 항상 1로 일정해서, 그 기울기도 0이다.
그리고 같은 기체라도 온도에 따라서 Z값이 달라지는데, 이리 저리 조절하다가 p->0으로 가는 극한값의 기울기가 딱 0인 온도가 있다. 이 온도를 보일온도(Boyle temperature)라고 하며, 실제기체 성지로가 이상기체 성질이 일치하게 된다.
반데르발스 상태식의 특징, 임계 인자

반데르 발스상태식은 높은 온도와 큰 몰부피 하에선 완전기체 등온 곡선이 얻어진다는 것이다.
식을 통해서 보면 T가 매우 커지면, 뒤에 항의 영향도 잘 안받고, 분자의 영향도 적게 받을 것이다.
V_m이 커지면, b의 영향도 적게 받고, a는 V_m^2에 비해 아주 작아질 것이므로 영향이 거의 없어질 것이기 때문이다.

위 그래프는 이산화탄소의 등온선 마다 압력을 다르게 하며 상변이를 측정하는 실험이다. 파란색 부분이 상변이가 일어났다고 보면 된다.
물질은 특정온도에서 압력이 변할때, 상변이 하는 모습이 다른데, 온도를 계속 올리면서 실험하다가, 상변이가 안일어나는 온도(등온선 - 30.04)가 있다. 이 온도를 임계 온도(critical temperature)라고 한다.
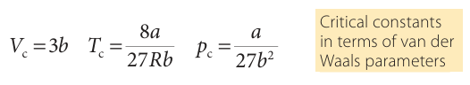
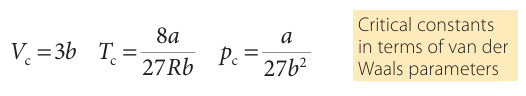
반데르발스 상태식을 이용해 이 임계점의 여러 인자들의 값을 구할 수 있다.
일단, 임계 등온선이 아래 파란색의 상변이 그래프와 맞닿아 있는걸 볼 수 있는데, 이 임계점에서 변곡점을 가진다는 점을 활용하면 된다.
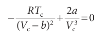
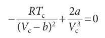
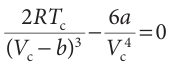
변곡점에선 1차도함수, 2차도함수 모두 0이 되므로, 반데르발스 상태식을 2차 미분까지 해서 계산해보면


1차 도함수 = 0


2차 도함수 = 0

위 두 식을 연립해서 정리하면, 임계온도에서의 부피(V_c), 온도(T_c), 를 우선 구한 후에, 반데르발스 식에 넣어서 압력(P_c)을 구할 수 있다.
임계 압축인자는 임계조건에서 액체와 기체의 성질이 동일하다는 조건을 이용해, Pv = ZRT식을 사용하면

다음과 같이 구할 수 있다.
실제기체의 이상성
실제기체가 보다 이상적으로 보이기 위해선, 정성적인 조건으로는 고온, 저압 이어야 한다. 고온에선 분자운동이 빨라져서 분자간 인력의 영향이 적어진다. 저압에서도 분자 사이 거리가 멀어지므로, 분자간 인력이 줄어들어 상대적으로 이상적인 기체에 가까워진다. 정량적인 조건으로 따지자면, 압축인자(Z)가 1에 가까울수록 이상기체에 가까운 것이고, 반데르발스 상태식에서 실제 분자크기와 분자 인력을 보정해준 반데르발스 파라미터(a,b) 가 0에 가까울수록 이상기체에 가까운 것이다.
Reference
- Physical Chemistry Quanta, Matter, and Change 2nd Edition